Page 177 of 258
Re: COVID-19
Posted: Tue Nov 03, 2020 2:40 pm
by KAJ
KAJ wrote: Mon Nov 02, 2020 1:25 pm
Oooh! Thanks for that

. When I retired I promised Mrs KAJ that I'd leave my committees and wouldn't take on any consultancy work, but I'm not getting paid and she's interested in COVID, so I'll give it a whirl. My "everyday" Chromebook is too old to have the Linux option but I have a more modern "spare" (dodgy touchpad, but can probably use a mouse) so I'll give it a try with that.
Well I managed to install R and RStudio. For the benefit of others, my Chromebooks linux is Debian 10 Buster which gave dependency problems with the current RStudio. After quite a lot of time with Google the solution which worked for me was by "kevinushey RStudio Employee"
here.
Re: COVID-19
Posted: Tue Nov 03, 2020 3:00 pm
by KAJ
Bird on a Fire wrote: Tue Nov 03, 2020 11:56 amThat does seem to be consistent with the data as it stands, as the increase in the number of tests is bigger than the number of cases. That said, it's not helpful having all the different pillars mixed in together as they change at different rates and measure different things. Ideally we'd be able to get data just for Pillar 2 and hard numbers for positive, negative and void - I couldn't find that info on the ONS site, is it available anywhere?
The UK gov site (
coronavirus-staging.data.gov.uk ) does say "Number of confirmed positive, negative or void lab-based COVID-19 test results, by pillar" but the numbers do seem to be the total of "confirmed positive, negative or void", not the individual values.
Re: COVID-19
Posted: Tue Nov 03, 2020 3:49 pm
by Bird on a Fire
KAJ wrote: Tue Nov 03, 2020 3:00 pm
Bird on a Fire wrote: Tue Nov 03, 2020 11:56 amThat does seem to be consistent with the data as it stands, as the increase in the number of tests is bigger than the number of cases. That said, it's not helpful having all the different pillars mixed in together as they change at different rates and measure different things. Ideally we'd be able to get data just for Pillar 2 and hard numbers for positive, negative and void - I couldn't find that info on the ONS site, is it available anywhere?
The UK gov site (
coronavirus-staging.data.gov.uk ) does say "Number of confirmed positive, negative or void lab-based COVID-19 test results, by pillar" but the numbers do seem to be the total of "confirmed positive, negative or void", not the individual values.
Yes, exactly - I even downloaded the CSV to check. For each pillar they give you the total of "positive and negative and void" but not each value disaggregated, which is....less than helpful.
I think for these purposes we just have to assume that new cases = positive test, and that nothing systematic is varying in the proportion of non-positive results that are negative vs. void.
Re: COVID-19
Posted: Wed Nov 04, 2020 7:46 pm
by Woodchopper
492 Covid deaths in the UK announced today. The death count follows the curve.
Re: COVID-19
Posted: Wed Nov 04, 2020 8:13 pm
by shpalman
New case numbers here seem to want to stabilize at about 30,000 per day following the exponential increase which took off about a month ago; deaths per day have been at about 1% of new cases per day during this. (They were at 10% during the first-wave outbreak.)
Re: COVID-19
Posted: Wed Nov 04, 2020 9:25 pm
by jimbob
Woodchopper wrote: Wed Nov 04, 2020 7:46 pm
492 Covid deaths in the UK announced today. The death count follows the curve.
Yes - I'm in a facebook discussion with people I know from the kids' primary school and one asked how I knew that the ONS excess deaths would continue to rise (for week 44 and 45) and I pointed out that wasn't even extrapolation.
I also got the Carl Henegen and Mike Yeadon videos too saying that Flu is a bigger problem
I guess they'll realise in a couple of weeks time.
Re: COVID-19
Posted: Wed Nov 04, 2020 9:39 pm
by KAJ
Woodchopper wrote: Wed Nov 04, 2020 7:46 pm
492 Covid deaths in the UK announced today. The death count follows the curve.
The fit to the (exponential) curve is substantially better for deaths by date of death than deaths by date of publication. Even better for 7-day moving average. The doubling time is ~11 days for all three options.

- Screenshot 2020-11-04 at 21.24.10.png (28.92 KiB) Viewed 8693 times

- Screenshot 2020-11-04 at 21.29.20.png (41.83 KiB) Viewed 8693 times
Interestingly (to me!) the doubling time for cases is ~16 days (with cases by specimen date fitting better than by report date).

- Screenshot 2020-11-04 at 21.35.25.png (28.12 KiB) Viewed 8693 times
Re: COVID-19
Posted: Thu Nov 05, 2020 10:18 am
by jimbob
jimbob wrote: Wed Nov 04, 2020 9:25 pm
Woodchopper wrote: Wed Nov 04, 2020 7:46 pm
492 Covid deaths in the UK announced today. The death count follows the curve.
Yes - I'm in a facebook discussion with people I know from the kids' primary school and one asked how I knew that the ONS excess deaths would continue to rise (for week 44 and 45) and I pointed out that wasn't even extrapolation.
I also got the Carl Henegen and Mike Yeadon videos too saying that Flu is a bigger problem
I guess they'll realise in a couple of weeks time.
Ah well - It got through, so at least that's several who'll listen to those with more scepticism.
Re: COVID-19
Posted: Thu Nov 05, 2020 8:52 pm
by sTeamTraen
Two things I learned from today's news conference:
1. Sir Simon Stevens should be on more. He had way better slides than last Saturday's nerdfest and he talked like a normal person.
2. While looking
here for the correct spelling of "Sir Simon Stevens", I discovered that Donald Trump Jr has escaped and is now undercover as a BBC health correspondent.

- _112811838__112171791_nicktriggle_tr-nc.png (96.49 KiB) Viewed 8532 times
Re: COVID-19
Posted: Thu Nov 05, 2020 8:56 pm
by Stupidosaurus
I'm not liking this new variant that's popped up in the Danish mink farms
https://www.bbc.co.uk/news/world-europe-54833459.
A bit more stewing of Covid sequences in animals was not what we needed at this point. One to watch, I think...hope it comes to nothing.
Re: COVID-19
Posted: Thu Nov 05, 2020 11:10 pm
by headshot
I’ve seen quite a few reports about the virus rampaging through mink farms in Spain and the USA.
Re: COVID-19
Posted: Thu Nov 05, 2020 11:47 pm
by Little waster
headshot wrote: Thu Nov 05, 2020 11:10 pm
I’ve seen quite a few reports about the virus rampaging through mink farms in Spain and the USA.
I must have missed all the "hilarious" jokes by right-wing comedians about those dirty Americans eating MinkDonalds and using mink for the incompetent development of bioweapons. I assume the PC police got to them first.
Re: COVID-19
Posted: Fri Nov 06, 2020 2:32 am
by Bird on a Fire
Wildlife trade bad. Intensive animal husbandry OTOH is apparently an unassailable component of civilization, and the pandemics it produces are a price worth paying for cheap meat and fur coats.
Re: COVID-19
Posted: Fri Nov 06, 2020 6:31 am
by headshot
Bird on a Fire wrote: Fri Nov 06, 2020 2:32 am
Wildlife trade bad. Intensive animal husbandry OTOH is apparently an unassailable component of civilization, and the pandemics it produces are a price worth paying for cheap meat and fur coats.
I must admit. I had no idea mink farms were even a thing until I read about the Covid outbreaks there.
Re: COVID-19
Posted: Fri Nov 06, 2020 7:11 am
by Woodchopper
A rapid coronavirus test at the heart of Boris Johnson’s mass-testing strategy missed more than 50% of positive cases in an Operation Moonshot pilot in Greater Manchester, the Guardian can reveal.
The 20-minute tests, on which the government has spent £323m for use with hospital and care home staff with no symptoms, identified only 46.7% of infections during a crucial trial in Manchester and Salford last month.
https://www.theguardian.com/world/2020/ ... SApp_Other
Re: COVID-19
Posted: Fri Nov 06, 2020 7:34 am
by Little waster
Woodchopper wrote: Fri Nov 06, 2020 7:11 am
A rapid coronavirus test at the heart of Boris Johnson’s mass-testing strategy missed more than 50% of positive cases in an Operation Moonshot pilot in Greater Manchester, the Guardian can reveal.
The 20-minute tests, on which the government has spent £323m for use with hospital and care home staff with no symptoms, identified only 46.7% of infections during a crucial trial in Manchester and Salford last month.
https://www.theguardian.com/world/2020/ ... SApp_Other
I’m guessing these are dowsing rods with the words “Bomb Deetectcor” Sharpied-out and replaced with a badly-scrawled “KOVAD”.
Re: COVID-19
Posted: Fri Nov 06, 2020 10:04 am
by Turdly
Little waster wrote: Fri Nov 06, 2020 7:34 am
Woodchopper wrote: Fri Nov 06, 2020 7:11 am
A rapid coronavirus test at the heart of Boris Johnson’s mass-testing strategy missed more than 50% of positive cases in an Operation Moonshot pilot in Greater Manchester, the Guardian can reveal.
The 20-minute tests, on which the government has spent £323m for use with hospital and care home staff with no symptoms, identified only 46.7% of infections during a crucial trial in Manchester and Salford last month.
https://www.theguardian.com/world/2020/ ... SApp_Other
I’m guessing these are dowsing rods with the words “Bomb Deetectcor” Sharpied-out and replaced with a badly-scrawled “KOVAD”.
It's a
LAMP-based assay (isothermal PCR). My OH (reformed virologist) spent some time working on LAMP-based diagnostics for plant and animal diseases. Her general opinion of LAMP after that was that it is massively unreliable so I'm not surprised this didn't work.
Re: COVID-19
Posted: Fri Nov 06, 2020 12:44 pm
by Bird on a Fire
Boris Johnson devising Operation Moonshot:

- ilovelamp.jpg (26.3 KiB) Viewed 8339 times
Re: COVID-19
Posted: Fri Nov 06, 2020 2:25 pm
by jimbob
KAJ wrote: Wed Nov 04, 2020 9:39 pm
Woodchopper wrote: Wed Nov 04, 2020 7:46 pm
492 Covid deaths in the UK announced today. The death count follows the curve.
The fit to the (exponential) curve is substantially better for deaths by date of death than deaths by date of publication. Even better for 7-day moving average. The doubling time is ~11 days for all three options.
Screenshot 2020-11-04 at 21.24.10.pngScreenshot 2020-11-04 at 21.29.20.png
Interestingly (to me!) the doubling time for cases is ~16 days (with cases by specimen date fitting better than by report date).
Screenshot 2020-11-04 at 21.35.25.png
I actually think that Ivor Cummins might believe his own schtick
He's retweeted this reply to me:
https://twitter.com/badlefty/status/131 ... 13956?s=20
BadLefty
@badlefty
Replying to
@ParkinJim
@CoatesDavidJohn
and 4 others
Wrong. We saw exponential growth during the pandemic. But what we see now is linear growth. I’ll attach the picture again. It’s a straight line, linear.
https://en.wikipedia.org/wiki/Exponential_growth
10:27 PM · Oct 22, 2020·Twitter for iPhone
12
Retweets
74
Likes
Which is leaving a pretty big hostage to fortune
Re: COVID-19
Posted: Fri Nov 06, 2020 3:02 pm
by bob sterman
Stupidosaurus wrote: Thu Nov 05, 2020 8:56 pm
I'm not liking this new variant that's popped up in the Danish mink farms
https://www.bbc.co.uk/news/world-europe-54833459.
A bit more stewing of Covid sequences in animals was not what we needed at this point. One to watch, I think...hope it comes to nothing.
Now of course I think mink farms are cruel and shouldn't be allowed BUT...
If they are culling 17 million mink to prevent any spread surely a hot wash with a bit of Persil / Ariel would make the fur safe to use??? And help put a dent in the carbon footprint associated with all that ethic fake fur?
Re: COVID-19
Posted: Fri Nov 06, 2020 8:00 pm
by sTeamTraen
Italy and France are a bit f.cked. Look at the acceleration from near-zero in the former and the sheer number of cases in the latter.

- Untitled.png (8.96 KiB) Viewed 8223 times

- Untitled.png (11.05 KiB) Viewed 8223 times
Re: COVID-19
Posted: Fri Nov 06, 2020 8:02 pm
by Bird on a Fire
Kin ell.
PS Can we also have log(y) axes plz?

Re: COVID-19
Posted: Fri Nov 06, 2020 8:10 pm
by shpalman
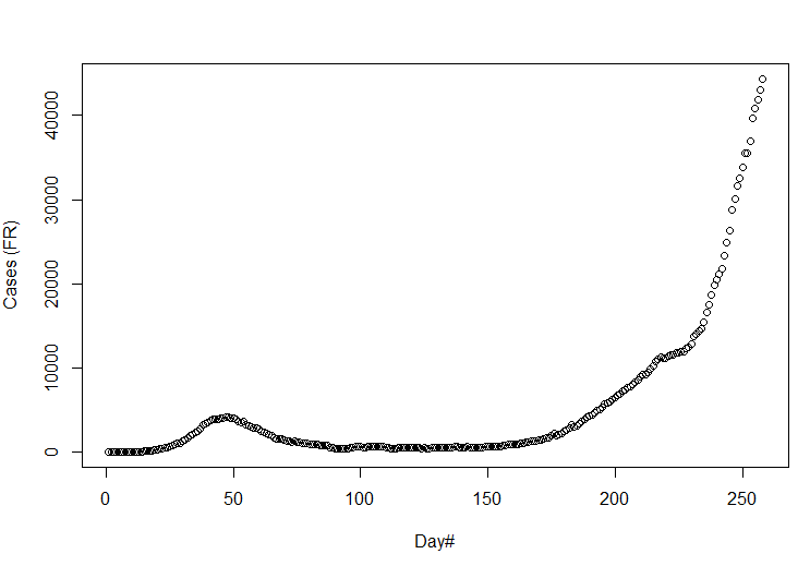
I've tried to extrapolate the exponential back to see if it coincides with the mid-September return to school, but it really kicked off at the end of October. (Whereas the bump you see before that is probably the end-of-August return from holidays which seems to have been kept under control during September.)
Based on the death or hospitalization rates we're probably picking up about 10 times more cases than during the first wave but yeah, hospitals are in trouble, and deaths are on course to be as bad as the first wave.
I consider it a big pile of f.cking b.llsh.t that we tried to go on with half-arsed restrictions until yesterday but then people here weren't really ready to accept a second preventative lockdown and are barely ready to accept it now.

- Untitled.png (17.55 KiB) Viewed 8216 times
"day 102" is June the 1st, by the way. October the 1st is 224. Sorry about that but plotting dates is a pain.
Re: COVID-19
Posted: Sat Nov 07, 2020 9:46 am
by jimbob
shpalman wrote: Fri Nov 06, 2020 8:10 pm
I've tried to extrapolate the exponential back to see if it coincides with the mid-September return to school, but it really kicked off at the end of October. (Whereas the bump you see before that is probably the end-of-August return from holidays which seems to have been kept under control during September.)
Based on the death or hospitalization rates we're probably picking up about 10 times more cases than during the first wave but yeah, hospitals are in trouble, and deaths are on course to be as bad as the first wave.
I consider it a big pile of f.cking b.llsh.t that we tried to go on with half-arsed restrictions until yesterday but then people here weren't really ready to accept a second preventative lockdown and are barely ready to accept it now.
Untitled.png
"day 102" is June the 1st, by the way. October the 1st is 224. Sorry about that but plotting dates is a pain.
I use the ECDC countrywide data, which makes it fairly easy
Re: COVID-19
Posted: Sat Nov 07, 2020 9:47 am
by shpalman
jimbob wrote: Sat Nov 07, 2020 9:46 am
shpalman wrote: Fri Nov 06, 2020 8:10 pm
I've tried to extrapolate the exponential back to see if it coincides with the mid-September return to school, but it really kicked off at the end of October. (Whereas the bump you see before that is probably the end-of-August return from holidays which seems to have been kept under control during September.)
Based on the death or hospitalization rates we're probably picking up about 10 times more cases than during the first wave but yeah, hospitals are in trouble, and deaths are on course to be as bad as the first wave.
I consider it a big pile of f.cking b.llsh.t that we tried to go on with half-arsed restrictions until yesterday but then people here weren't really ready to accept a second preventative lockdown and are barely ready to accept it now.
Untitled.png
"day 102" is June the 1st, by the way. October the 1st is 224. Sorry about that but plotting dates is a pain.
I use the ECDC countrywide data, which makes it fairly easy
How would using the ECDC data instead of the one I get from Italy via a git help with the way LibreOffice charts deal with dates?